Enunciado
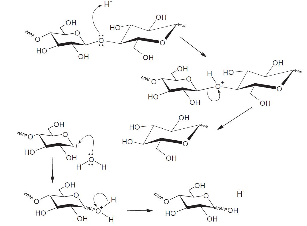
A biomassa celulósica pode ser utilizada para a produção de etanol de segunda geração. Entretanto, é necessário que os polissacarídeos sejam convertidos em mono e dissacarídeos, processo que pode ser conduzido em meio ácido, conforme mostra o esquema:

OGEDA, T. L.; PETRI, D. F. S. \[…\] Química Nova, n. 7, 2010 (adaptado).
Nessa conversão de polissacarídeos, a função do íon H+ é
Alternativas
- A)
Dissolver os reagentes.
- B)
Deslocar o equilíbrio químico.
- C)
Aumentar a velocidade da reação.
- D)
Mudar a constante de equilíbrio da reação.
- E)
Formar ligações de hidrogênio com o polissacarídeo.
Questões relacionadas
- Analise a figura.  Supondo que seja nec...
- Estima-se que haja atualmente no mundo 40 milhões de pessoas infectadas pelo HIV (o vírus que causa a AIDS), sendo que a...
- Em um experimento, preparou-se um conjunto de plantas por técnica de clonagem a partir de uma planta original que aprese...
- Na linha de uma tradição antiga, o astrônomo grego Ptolomeu (100-170 d.C.) afirmou a tese do geocentrismo, segundo a qua...
Comentarios (0)
Sem comentarios ainda. Sistema de comentarios sera ativado em breve.
Comentarios com Turnstile + login obrigatorio em desenvolvimento (questao e28835c2).