Enunciado
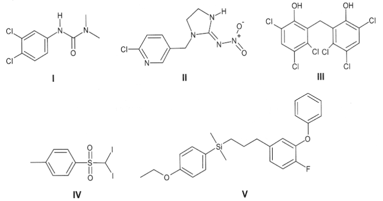
As águas subterrâneas têm sido contaminadas pelo uso de pesticidas na agricultura. Entre as várias substâncias usualmente encontradas, algumas são apresentadas na figura. A distinção dessas substâncias pode ser feita por meio de uma análise química qualitativa, ou seja, determinando sua presença mediante a adição de um reagente específico. O hidróxido de sódio é capaz de identificar a presença de um desses pesticidas pela reação ácido-base de Brönsted-Lowry.

O teste positivo será observado com o pesticida
Alternativas
- A)
I
- B)
II
- C)
III
- D)
IV
- E)
V
Questões relacionadas
- Analise a figura.  Supondo que seja nec...
- Estima-se que haja atualmente no mundo 40 milhões de pessoas infectadas pelo HIV (o vírus que causa a AIDS), sendo que a...
- Em um experimento, preparou-se um conjunto de plantas por técnica de clonagem a partir de uma planta original que aprese...
- Na linha de uma tradição antiga, o astrônomo grego Ptolomeu (100-170 d.C.) afirmou a tese do geocentrismo, segundo a qua...
Comentarios (0)
Sem comentarios ainda. Sistema de comentarios sera ativado em breve.
Comentarios com Turnstile + login obrigatorio em desenvolvimento (questao 695d4a55).