Enunciado
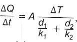
Na montagem de uma cozinha para um restaurante, a escolha do material correto para as panelas é importante, pois a panela que conduz mais calor é capaz de cozinhar os alimentos mais rapidamente e, com isso, há economia de gás. A taxa de condução do calor depende da condutividade k do material da sua área A, da diferença de temperatura T e da espessura d do material, sendo dada pela relação . Em panelas com dois materiais, a taxa de condução é dada por , em que  e  são as espessuras dos dois materiais, e  e  são as condutividades de cada material. Os materiais mais comuns no mercado para panelas são o alumínio (k = 20 W/m K), o ferro (k = 8 W/m K) e ao aço (k = 5 W/m K) combinado com o cobre (k = 40 W/m K).
Compara-se uma panela de ferro, uma de alumínio e uma composta de  da espessura em cobre e  da espessura em aço, todas com a mesma espessura total e com a mesma área de fundo.
A ordem crescente da mais econômica para a menos econômica é
Alternativas
- A)
Cobre-aço, alumínio e ferro.
- B)
Alumínio, cobre-aço e ferro
- C)
Cobre-aço, ferro e alumínio
- D)
Alumínio, ferro e cobre-aço
- E)
Ferro, alumínio e cobre-aço
Questões relacionadas
- Analise a figura.  Supondo que seja nec...
- Estima-se que haja atualmente no mundo 40 milhões de pessoas infectadas pelo HIV (o vírus que causa a AIDS), sendo que a...
- Em um experimento, preparou-se um conjunto de plantas por técnica de clonagem a partir de uma planta original que aprese...
- Na linha de uma tradição antiga, o astrônomo grego Ptolomeu (100-170 d.C.) afirmou a tese do geocentrismo, segundo a qua...
Comentarios (0)
Sem comentarios ainda. Sistema de comentarios sera ativado em breve.
Comentarios com Turnstile + login obrigatorio em desenvolvimento (questao f13b3f32).