Enunciado
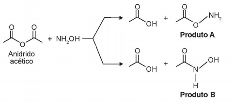
A hidroxilamina  é extremamente reativa em reações de substituição nucleofílica, justificando sua utilização em diversos processos. A reação de substituição nucleofílica entre o anidrido acético e a hidroxilamina está representada.

O produto A é favorecido em relação ao B, por um fator de. Em um estudo de possível substituição do uso de hidroxilamina, foram testadas as moléculas numeradas de 1 a 5.

Dentre as moléculas testadas, qual delas apresentou menor reatividade?
Alternativas
- A)
1
- B)
2
- C)
3
- D)
4
- E)
5
Questões relacionadas
- Analise a figura.  Supondo que seja nec...
- Estima-se que haja atualmente no mundo 40 milhões de pessoas infectadas pelo HIV (o vírus que causa a AIDS), sendo que a...
- Em um experimento, preparou-se um conjunto de plantas por técnica de clonagem a partir de uma planta original que aprese...
- Na linha de uma tradição antiga, o astrônomo grego Ptolomeu (100-170 d.C.) afirmou a tese do geocentrismo, segundo a qua...
Comentarios (0)
Sem comentarios ainda. Sistema de comentarios sera ativado em breve.
Comentarios com Turnstile + login obrigatorio em desenvolvimento (questao c8032885).