Ano 2016
Enunciado

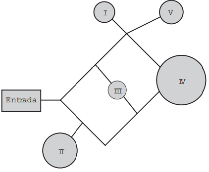
Suponha que relativamente a cada ramificação, as opções existentes de percurso pelos caminhos apresentem iguais probabilidades de escolha, que a caminhada foi feita escolhendo ao acaso os caminhos existentes e que, ao tomar um caminho que chegue a uma área distinta da IV, o adolescente necessariamente passa por ela ou retorna.
Nessas condições, a probabilidade de ele chegar à área IV sem passar por outras áreas e sem
retornar é igual a
Alternativas
- A)
1/96
- B)
1/64
- C)
5/24
- D)
1/4
- E)
5/12
0.0 (0 avaliacoes)
Comentarios (0)
Sem comentarios ainda. Sistema de comentarios sera ativado em breve.
Comentarios com Turnstile + login obrigatorio em desenvolvimento (questao ac98e270).